
什么情况?这家公司接连惊现“骨折价”大宗交易 均为机构卖出
来源:上海证券报 作者:卢丹 发布时间:2020-12-04
折价10%成交的大宗交易不算很常见,连续两天出现十几笔乃至二十几笔折价10%的大宗交易便非同寻常了。更奇怪的是,这些大宗交易的卖方几乎清一色的是机构席位!
机构接连大甩卖,到底是哪家公司如此非同寻常?根据大宗交易公开信息梳理,连续多日出现大批量“骨折价”大宗交易的公司是河钢资源。

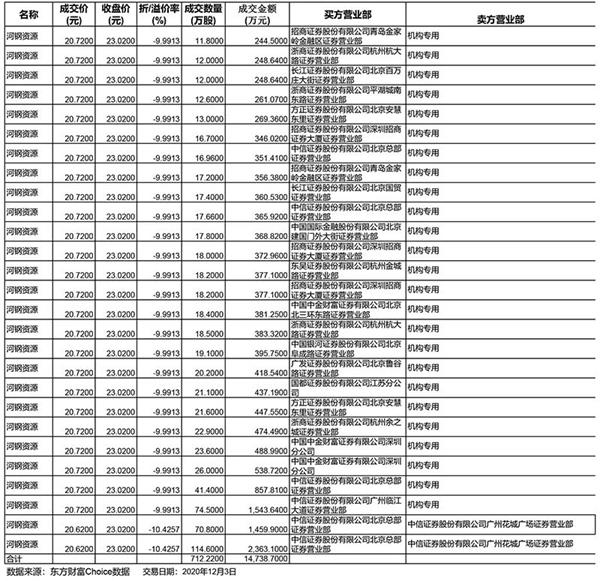
12月3日河钢资源大宗交易明细
河钢资源“骨折价”大宗交易已持续数日
12月3日,河钢资源惊现27笔大宗交易,其中25笔为机构卖出、营业部买入,折价率均为9.99%。这25笔机构卖出的大宗交易累计成交金额为1.09亿元。
另外2笔大宗交易的买卖双方分别为中信证券北京总部证券营业部和中信证券广州花城广场证券营业部,合计成交金额为3823万元,折价率为10.43%。
值得一提的是,河钢资源12月3日总成交金额6.49亿元,27笔大宗交易成交金额合计1.47亿元,大宗交易占当日成交金额的23%。
此前12月2日,河钢资源出现13笔大宗交易,均为机构卖出,成交价格均为折价10.01%。13笔大宗交易总成交500万股,合计成交金额9980.01万元。大宗交易成交金额占当日总成交金额的14%。

时间再向前推移,11月30日,河钢资源发生了2笔大宗交易,总成交250万股,成交金额4580万元,均折价12.39%,买卖双方为券商营业部。

11月27日,河钢资源发生了1笔大宗交易,总成交40万股,成交金额760万元,折价6.63%,买卖双方为券商营业部。
公司近期频频发布减持公告
正在小编苦苦寻找河钢资源接连“骨折价”大宗交易为哪般时,河钢资源12月3日晚间发布了《关于持股5%以上股东被动减持股份的进展公告》,提前预告了“未来”的一波减持。
根据公告,河钢资源于12月3日收到林丽娜女士递交的《关于股份被动减持实施进展的告知函》,林丽娜女士于12月1日接到招商证券股份有限公司广州华穗路证券营业部通知,营业部已接到广州市中级人民法院送达的《协助执行通知书》,要求营业部在变更可售冻结状态后20个交易日以集中竞价的方式卖出652.72万股股票。
截至目前,招商证券股份有限公司广州华穗路证券营业部已向中国证券登记结算有限公司深圳分公司提出变更股份性质申请。
除了这则刚刚发布的公告,小编梳理发现,河钢资源近期发布多个减持公告,均涉及大宗交易方式减持。
例如,12月1日晚间,河钢资源发布了《关于股东减持计划时间过半的进展公告》。公告中介绍,河钢资源8月6日披露了《关于持股5%以上股东股份减持计划的预披露公告》,持有本公司股份3543.3万股(占本公司总股本比例5.43%)的股东国泰君安证券资管-宁波银行-国泰君安君享宣工集合资产管理计划拟以集中竞价交易方式、大宗交易等方式减持所持公司股份合计不超过3543.3万股。
减持时间已过半,减持进展情况如下:

11月20日,河钢资源发布《关于持股5%以上股东股份减持计划的预披露公告》。
中国长城资产管理股份有限公司截至公告日持有公司股份3937.01万股,占公司总股本的6.03%,拟以集中竞价交易、大宗交易等方式减持所持公司股份合计不超过680万股,即不超过本公司股份总数的1.04%。
众多减持公告,小编不一一列举。

股价11月至今大涨81.69%
虽然河钢资源频频发布减持公告,却并未给蹭蹭上涨的股价“浇冷水”。
从盘面来看,河钢资源11月以来股价大幅拉升,11月1日至今的区间涨幅高达81.69%,并在11月10日、12日、16日收获涨停板,可谓牛气冲天。
此外,河钢资源2020年12月1日在深交所互动易中披露,截至2020年11月30日公司股东户数为1.91万户,较上期(2020年11月20日)减少1743户,减幅为8.35%。股东户数正在趋于集中。

中泰证券11月27日曾发布一篇关于河钢资源的研报,认为该公司目前拥有优质的铜铁伴生矿资源,低廉的采选成本成为其磁铁矿持续盈利的保障。随着后期铜矿二期项目建设,铜产品未来有望逐步减亏。当然,当前铁矿的高盈利是建立在今年矿价景气的基础上,未来景气度的持续性需关注钢铁下游需求的变化。
责任编辑:《每日财讯网》编辑
下一篇:没有了!

〖免责申明〗本文仅代表作者个人观点,其图片及内容版权仅归原所有者所有。如对该内容主张权益请来函或邮件告之,本网将迅速采取措施,否则与之相关的纠纷本网不承担任何责任。